公共卫生学术热点追踪
《柳叶刀》子刊:严防孕期高血压!620余万人分析发现,妊娠期高血压病史与全因痴呆风险升高32%、血管性痴呆风险升高78%有关
怀孕,对女性来说真的是一件需要冒着很多风险的事情。
《柳叶刀·老龄健康》杂志发表了一项来自哥伦比亚大学科学团队的研究论文,其结果再次提醒孕期高血压/糖尿病等不良妊娠结局与认知障碍和痴呆之间的关联性。
这是一项涉及11项研究、620余万人的荟萃分析,包括妊娠期高血压、妊娠期糖尿病、死产、早产、胎儿生长受限、胎盘早剥在内的不良妊娠结局与全因痴呆风险升高32%有关,与阿尔茨海默病和血管性痴呆风险分别升高26%和94%有关。
其中尤其值得注意的是妊娠期高血压,妊娠期高血压与全因痴呆风险升高32%、血管性痴呆风险升高78%有关。
不良妊娠结局本就是脑血管疾病的性别特异性风险因素。相较男性,女性患痴呆的终身风险更高,患痴呆相关残疾的年限更长,与痴呆相关的死亡风险也更高。考虑到如今多种不良妊娠结局患病率不减反增,关注其相关的认知障碍风险更凸显重要性。
论文题图
该研究通过关键词检索到11251篇出版文献,有11项研究的6263431名参与者数据符合荟萃分析需求。
研究所指的不良妊娠结局包括妊娠期高血压、早产、死产、胎盘早剥、胎儿生长受限、妊娠期糖尿病,子痫前期与其他高血压疾病。
研究终点包括全因痴呆、阿尔茨海默病、血管性痴呆、其他或未明确的痴呆、轻度认知障碍。不过轻度认知障碍相关的数据量较小,不满足分析需求。
分析结果显示,任何不良妊娠结局与全因痴呆风险升高32%有关,与阿尔茨海默病风险升高26%、血管性痴呆风险升高94%有关。
不良妊娠结局与全因痴呆(A)、阿尔茨海默病(B)、血管性痴呆(C)风险的关系
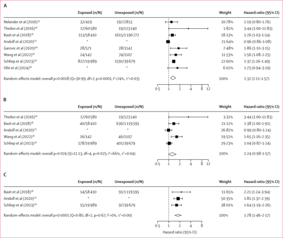
具体到不同的不良妊娠结局,死产与妊娠期糖尿病病全因痴呆风险之间无显著相关性。但妊娠期高血压与全因痴呆风险升高32%、血管性痴呆风险升高78%有关,与阿尔茨海默病风险无关。

妊娠期高血压与全因痴呆(A)、阿尔茨海默病(B)、血管性痴呆(C)风险的关系
妊娠期高血压疾病与痴呆之间的关系较为明确,包括慢性高血压、妊娠期高血压、先兆子痫、子痫和HELLP综合征。此前有多项前瞻性和回顾性研究发现,多种类型的妊娠不良结局与心血管风险因素和疾病的发生率升高有关。
虽然尚未确定具体的机制,但胎盘介导的不良妊娠结局与心血管疾病存在许多共同的病生理特征,包括血管生成失调、血管内皮功能障碍、全身炎症等等。
不良妊娠结局与阿尔茨海默病之间的联系尚不明确。研究者认为,分析中观察到的关联可能来自血管疾病对阿尔茨海默病发展的累积效应。
(来源:奇点网)
原文出处:Miller EC, Conley P, Alirezaei M, Wolfova K, Gonzales MM, Tan ZS, Tom SE, Yee LM, Brickman AM, Bello NA. Associations between adverse pregnancy outcomes and cognitive impairment and dementia: a systematic review and meta-analysis. Lancet Healthy Longev. 2024 Dec 12:100660. doi: 10.1016/j.lanhl.2024.100660. Epub ahead of print. PMID: 39675366.
