公共卫生学术热点追踪
为什么从不吸烟还得了肺癌?美国团队发表最新nature触目惊心!空气污染才是罪魁祸首
众所周知,肺癌通常与吸烟有关,但研究显示,全球约250万例肺癌病例中,有10%-25%的患者从未吸过烟。
从未吸烟者发生肺癌的发病率受多种因素影响,女性、亚洲人群和有肺癌家族史的人群更为常见;不同地理区域也存在差异,东亚和东欧国家的发病率高于北美和西欧;流行病学研究还发现,环境因素如二手烟和空气污染会增加从未吸烟者发生肺癌的风险。
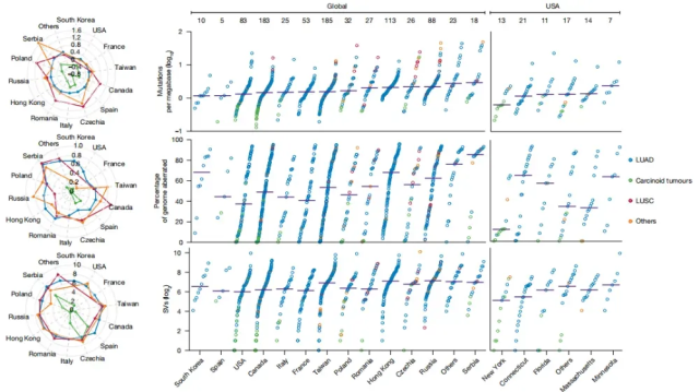
近日,美国国家癌症研究所科研团队在nature发表了最新研究成果“The mutagenic forces shaping the genomes of lung cancer in never smokers”,这项大型的国际LCINS队列研究生成并分析了871名从未接受过治疗的肺癌患者的深度全基因组测序数据,评估了二手烟和空气污染的致突变作用,并考察和比较了不同性别、血统以及28个空气污染水平不同的地理区域之间的突变特征。

研究人员首先探究了不同地区从不吸烟肺癌患者体细胞突变的差异。值得注意的是,特征SBS22a(一种与马兜铃酸有关的特殊突变特征)在东亚患者中显著富集,且几乎仅在台湾患者中发现(32/36,88.9%),研究人员推测这种暴露可能来源于某些传统草药或特定饮食成分。

而欧美患者中,KRAS突变更为频繁,这一人群中EGFR突变的比例显著低于东亚人群。此外,全队列中最常见的单碱基突变为SBS40a,但其来源仍不明确,后续研究需探索其潜在诱因。
为了探究二手烟暴露引发的突变机制,研究人员对比了250例被动吸烟者的从不吸烟者肺癌病例与208例未接触二手烟的从不吸烟者肺癌个体的基因组特征,研究发现,被动吸烟者中SBS突变显著增加,同时肿瘤与正常端粒长度比值下降。但并未观察到明确的致突变特征或驱动基因突变的改变,尤其未见吸烟者中常见的SBS4突变特征。也就是说,二手烟可能并非从不吸烟者肺癌发生的主要基因组驱动因素。
“如果二手烟确实存在致癌作用,那么这种效应可能太弱,我们目前的工具无法检测到,然而,其生物学效应仍然体现在端粒的显著缩短上。”研究的共同第一作者Tongwu Zhang说。
鉴于许多流行病学研究表明空气污染在肺癌发生中起作用,研究人员评估了大气中的空气污染(以2.5微米或更小的颗粒物PM2.5来衡量)是否影响了从不吸烟者肺癌中体细胞突变的累积。
结果显示,来自PM2.5水平较高的地区的患者,即使在考虑了年龄、性别、遗传背景、组织学和肿瘤纯度等因素后,体细胞突变、双核苷酸重复序列和插入缺失突变的负担仍然增加,并且端粒缩短现象也更加明显。具体来说,体细胞突变增加了30.2%;双核苷酸重复序列增加了45.7%;插入缺失突变增加了19.7%。

此外,这些特征还表现出剂量-反应效应,即给定特征的总突变数与个体PM2.5估计值之间存在显著正相关。具体而言,PM2.5浓度每增加1微克/立方米,SBS5相关突变数增加2.3%,SBS4相关突变数增加12.0%,ID3相关突变数增加6.0%。

总体而言,这项庞大的全球队列研究表明接触马兜铃酸在台湾人的从不吸烟者肺癌发生中起着重要作用,空气污染不仅可能引发突变,还可能是肿瘤增殖的促进因素,相比之下,研究人员并未发现二手烟与肺癌之间存在强烈的遗传相关性。
(来源:生命科学前沿)
原文出处:Díaz-Gay M, Zhang T, Hoang PH, Leduc C, Baine MK, Travis WD, Sholl LM, Joubert P, Khandekar A, Zhao W, Steele CD, Otlu B, Nandi SP, Vangara R, Bergstrom EN, Kazachkova M, Pich O, Swanton C, Hsiung CA, Chang IS, Wong MP, Leung KC, Sang J, McElderry JP, Hartman C, Colón-Matos FJ, Miraftab M, Saha M, Lee OW, Jones KM, Gallego-García P, Yang Y, Zhong X, Edell ES, Santamaría JM, Schabath MB, Yendamuri SS, Manczuk M, Lissowska J, Świątkowska B, Mukeria A, Shangina O, Zaridze D, Holcatova I, Mates D, Milosavljevic S, Kontic M, Bossé Y, Rothberg BEG, Christiani DC, Gaborieau V, Brennan P, Liu G, Hofman P, Yang L, Nowak MA, Shi J, Rothman N, Wedge DC, Homer R, Yang SR, Pesatori AC, Consonni D, Lan Q, Zhu B, Chanock SJ, Choi J, Alexandrov LB, Landi MT. The mutagenic forces shaping the genomes of lung cancer in never smokers. Nature. 2025 Jul 2. doi: 10.1038/s41586-025-09219-0. Epub ahead of print. PMID: 40604281.
