公共卫生学术热点追踪
Lancet Respir Med:仅两周不运动,肺活量就会骤降!两项研究:女性肺活量20岁达顶峰,男性在23岁,此后便开始下降,中年坚持每天1小时运动方可“维稳”
还记得学生时代体能测试里的“肺活量”项目吗?那大概是整套测试中最轻松的一环——深吸一口气,对着吹嘴尽力呼出,看着仪器上的数字不断攀升,直到脸憋得通红。对于当时正值青春年华的我们来说,这个数字似乎总能轻松达标。
然而当年华渐逝,步入三四十岁的人生赛道,不知从何时起,爬完三层楼梯就开始大口气喘、追赶公交车后心跳久久难以平复、陪孩子在公园玩耍时竟需要不时停下脚步缓口气……
其实,这些变化的背后,都与肺功能这个维持生命活力的“发动机”息息相关。
长久以来,我们都知道肺功能会随着年龄增长而自然衰退,但究竟如何衰退、何时开始、速度多快,一直是个模糊的概念。
直到最近,《柳叶刀-呼吸医学》上发表的一项开创性研究,终于为我们揭开了这个谜底!这项研究首次对人类的肺功能进行了一次“全景式测绘”,绘制出了一幅从童年到老年的完整呼吸发展图。
研究发现:肺功能在儿童期经历快速成长后,并不会像身高那样在某个年龄戛然而止,而是会持续缓慢增长直至峰值——女性约在20岁,男性约在23岁达到巅峰。更颠覆传统认知的是,肺功能在达到顶峰后并没有所谓的“平台缓冲期”,而是从达到顶峰开始,就以每年22-38毫升的速度悄然下滑(相当于每年失去约一小杯水的呼吸能力)。此外,FEV₁/FVC 比值(反映气道通畅度)则会在整个生命周期中都持续下降,下降速度因年龄和性别而异。
这些发现不仅刷新了医学界对肺功能发展轨迹的认知,更为我们每个人的健康管理敲响了警钟!接下来,让我们一起来看看是怎么回事。
研究对象与流程
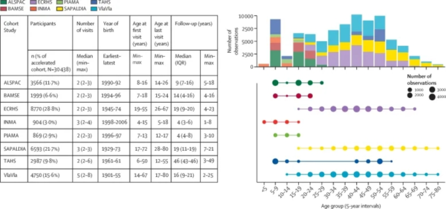
为了搞清楚我们肺的一生,研究者进行了一次规模空前的“数据总动员”。他们汇集了来自欧洲和澳大利亚的8个大型队列研究数据,共30,438名出生于1901年至2006年之间的参与者,其中女性占51.6%,男性占48.4%。他们通过复杂的统计模型,将不同年龄段的肺功能数据“拼接”起来,模拟出从4岁到80岁的完整轨迹。
肺功能指标主要关注三个核心参数:
FEV₁(第一秒用力呼气量):反映气道通畅程度,可以理解为肺的“爆发力”;
FVC(用力肺活量):反映肺的总容量
FEV₁/FVC比值:常用于诊断是否患有阻塞性肺病
此外,研究者还按参与者的哮喘状态(从未患哮喘 vs 持续性哮喘)和吸烟状态(从不吸烟者 vs 持续性吸烟者)分别进行了特定性别分析。
图1:参与者访视次数、年龄及随访时间的汇总,以及各队列研究对加速队列的贡献(绝对观察数)
“肺生”完整轨迹
20岁左右达巅峰,然后一路下坡
数据显示,FEV₁(第一秒用力呼气量)和FVC(用力肺活量)在儿童期呈快速上升趋势,随后增速逐渐放缓,直至成年早期达到峰值,之后便进入持续下降的阶段。与此同时,FEV₁/FVC 比值(反映气道通畅程度的关键指标)从4岁起便随年龄增长持续下降,表明呼吸效率在生命早期就已开始逐步减弱。
在多项敏感性分析中——包括排除VlaVla研究、对研究流失进行加权处理,以及仅纳入从未患有哮喘、从未吸烟且从未肥胖的参与者,结果均显示出与主要分析一致的变化模式。这些结果不仅验证了本研究得出的“肺部人生曲线图”具有较高的稳健性,也进一步证实:肺功能在青年时期达到顶峰后即开始逐渐下降,是一种普遍存在的生理规律,而不仅仅是由哮喘或吸烟等风险因素所驱动。
图2:生命历程中基于性别的FEV1发展轨迹
那么,肺功能具体是如何变化的呢?
分析发现,女性的肺功能(FEV₁和FVC)在20岁(18-22岁之间)左右就达到峰值;而男性的巅峰期则稍晚,在23岁(21-25岁之间)左右。并且,肺功能并没有传统认知中的“平台期”——其在达到顶峰后立即开始逐年下滑,女性平均每年下降约26毫升,男性则下降约38毫升。
而另一个关键指标——FEV₁/FVC比值的下降轨迹也呈现出鲜明的性别特征。女性在青春期(约17岁前)下降极为缓慢,进入成年期后下降速度明显加快。男性则从童年起就呈现出较快的下降趋势,并在中年阶段(至约53岁前)维持在一个相对稳定的水平,然而在53岁之后,下降速度会再次加快,进入了一个“加速衰退期”。
图3:生命历程中基于性别的FVC发展轨迹
由此看来,我们的肺功能在20岁出头时就已到达巅峰,此后,它便开始偷偷计划“退休”了。那么,有哪些因素会改变这条“命运线”的走向呢?
分层分析揭示,哮喘会让肺功能提前“封顶”:女性患者峰值提前至17岁,男性提前至19岁,且整个成年期的肺功能水平都显著偏低。而长期吸烟,则会在参与者三十多岁之后,为肺功能衰退按下“加速键”,显著加剧其下降幅度。
此时此刻,你是不是在想:既然下坡路这么早就开始了,我们有没有可能为肺功能的衰退安装一个“缓降装置”?
另一项发表在Journal of applied physiology期刊上的研究给出了一个有点“残酷”的答案:还真有!但是难度有点大。
躺平两周,心肺健康水平暴跌13.4%!
每天运动1小时,能成功“续费”
在该研究中,研究人员们招募了22位身体健康的55-65岁志愿者(11男11女),让他们体验了一把为期14天的“超级懒人套餐”——连续14天保持头低脚高6°的卧床休息(HDBR)。研究团队想要探索以下三个问题:仅仅两周的卧床休息,会对心肺健康造成多大影响?每天1小时的运动能否抵消这种“退化”?停止卧床后,需要多久才能恢复?
实验中22名健康的中老年人(59±3岁)被分为两组:
· 运动组:每天进行约1小时运动,包括高强度间歇骑行、有氧骑行和抗阻训练
· 对照组:只接受被动理疗,不进行主动运动,真正地“躺平”
所有参与者在14天卧床期间,所有活动(包括进食、洗漱)都保持6°头低脚高位。研究团队在卧床前、卧床后第1-2天、第6天和4周后分别测试了他们的最大摄氧量(VO₂max)等指标。
分析结果发现:相比于运动组,“躺平”组心肺功能大幅衰退,表现为卧床两周后,最大摄氧量平均暴跌13.4%。而且这种虚弱状态在恢复日常活动后的前6天依然持续,直到整整4周后,这些参与者的心肺功能才勉强恢复到卧床前的水平。更值得注意的是,这些人中,原本身体素质较好的人,卧床后心肺功能下降的幅度反而更大。
与此形成鲜明对比的是,每天坚持1小时运动的“运动组”,尽管同样经历了14天的卧床,但因为他们坚持每天1小时的锻炼,心肺功能没有丝毫衰退,全程保持在与之前相当的水平。
图4:最大摄氧量变化情况
这项极端实验告诉我们:用进废退,在身体机能上体现得淋漓尽致。即使是中年人,短短两周的不活动就足以让心肺功能“报警”,而坚持每天1小时的运动,就是最有效的“保险”。
小结
综上所述,这两项研究共同勾勒出“肺的一生”真实图景:肺功能的拐点远早于我们的想象——它在20岁出头登顶后便悄然步入下坡路,其间没有平台期可供停歇,衰退是一场贯穿生命的漫长跋涉。而人到中年若选择“躺平”,更会加速心肺储备的消耗;唯有坚持每日约1小时的综合运动(有氧+力量+高强度间歇),才能为维持较好的肺功能状态。
总之,肺活量这东西,还真的是“一口一口练出来,一年一年守住的”。因此,看到这里,还不快站起来活动一下!
(来源:生物谷)
参考文献:
[1] Garcia-Aymerich J, de Las Heras M, Carsin AE, et al. General population-based lung function trajectories over the life course: an accelerated cohort study. Lancet Respir Med. 2025;13(7):611-622. doi:10.1016/S2213-2600(25)00043-8
[2] Hedge ET, Mastrandrea CJ, Hughson RL. Loss of cardiorespiratory fitness and its recovery following two weeks of head-down bed rest and the protective effects of exercise in 55- to 65-yr-old adults. J Appl Physiol (1985). 2023;134(4):1022-1031. doi:10.1152/japplphysiol.00726.2022
