公共卫生学术热点追踪
告别体重焦虑!Nature Medicine:糖尿病前期不刻意减重,仅改善生活方式,控好糖,进展风险直降71%,效果与减重相当
过去,全球临床实践指南几乎都在重复一句“金句”:“想远离糖尿病,先减重。”理由也足够扎心,如今全世界有超4.6亿人患上2型糖尿病(T2D),每年还有大量“糖尿病前期”人群不断加入“战场”。糖尿病前期是T2D最突出的风险因素,每年进展率5%-10%,终身进展风险高达74%。但也正因这条“金科玉律”几乎刻进了所有人脑子里,我们才会对其抱有一种痛并恐惧的依赖。
然而,一项最新发表于Nature Medicine的研究竟大胆挑战了这条铁律:即使体重不减,甚至还轻微上升,仅靠生活方式干预,也有机会让糖尿病前期真正缓解,并显著降低未来发展为T2D的风险。

DOI:10.1038/s41591-025-03944-9
体重没掉,但血糖正常了
这项研究利用德国糖尿病研究中心开展的大规模“糖尿病前期生活方式干预研究(PLIS)”,研究者们没有盯着那些成功减肥的“模范生”,反而聚焦于一群“特殊”的参与者——在为期一年的生活方式干预后,他们没有减轻任何体重,甚至有些人体重还上升了。
在这234名“非主流”参与者中,一个神奇的现象出现了:有51人(约占22%)成功实现了“糖尿病前期缓解”(定义为恢复正常血糖调节,即空腹血糖<5.6mmol/L,2小时血糖<7.8mmol/L,HbA1c<39mmol/mol),转身为“应答者”(R)。而剩下的183名“非应答者”(NR),则依然停留在糖尿病前期的状态。

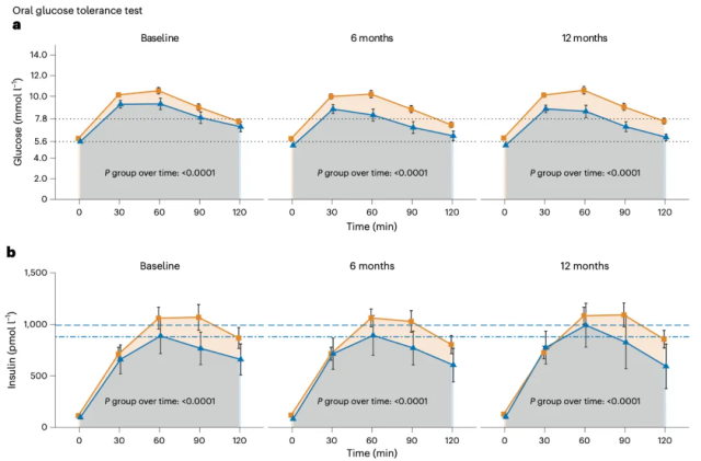
达到缓解的R组在血糖和胰岛素控制方面都优于未达到缓解的NR组
而这两组人在体重和BMI的变化上,没有显著差别。 那么,究竟是什么神秘力量,在背后主导了这场“同重不同命”的健康分化呢?
答案,就藏在脂肪中。不妨把我们的身体想象成一个智能的仓储系统。当能量过剩(体重增加)时,R组参与者倾向于将多余的脂肪存放在皮下脂肪组织(SCAT),这是一种相对温和、甚至可视为保护性的储存方式。而NR组参与者把大量的脂肪堆放在了危险的内脏脂肪组织(VAT)。
研究也通过精确的核磁共振成像揭示了这个现象:尽管两组参与者体重都在增加,但R组参与者的VAT未增加,SCAT却显著增加;反观NR组,他们的VAT增加,SCAT却变化不大。最终,R组的SCAT/VAT比值大幅提升,而NR组该比值却在下降。

R组在脂肪分布方面有显著的改善
从机制上来说,VAT会释放大量促炎因子和游离脂肪酸,导致肝脏和肌肉的胰岛素抵抗。而SCAT是一个相对“安全”的能量储库,其扩张能力更强,能将多余的脂质“隔离”起来,减少其对其他器官的毒性作用。
双重奏效
光有好的脂肪分布还不够,真正的健康逆转发生在微观层面。
在干预过程中,R组的血糖水平逐渐下降,且在口服葡萄糖耐量试验(OGTT)中,后期的胰岛素浓度出现上升,提示胰岛素分泌能力以及 β 细胞功能有所改善。
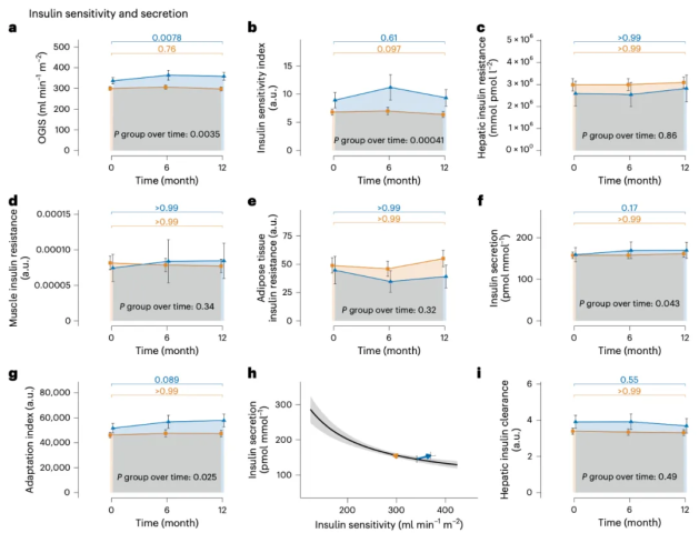
与此同时,R组的胰岛素敏感性指标——包括OGIS指数和Matsuda指数——也明显提升,而NR组则几乎没有变化。更进一步地,反映早期胰岛素分泌的C肽AUC0-30min 与葡萄糖AUC0-30min的比值,以及β细胞功能的“适应指数”等指标,也仅在R组显著上升,NR组未表现出类似改善。

R组在干预后12个月内在胰岛素敏感性和分泌方面的显著改善
换言之,糖尿病前期缓解的关键,在于能够同时增强胰岛素分泌能力与提升胰岛素敏感性,这两个核心环节在R组实现了双重修复。
风险降71%
最后,研究者对这群参与者进行了长达近10年的随访,结果发现:那些在没有减肥的情况下实现糖尿病前期缓解的R组”,未来罹患T2D的风险降了71%! 这个保护效果,与之前研究中通过减肥实现缓解所带来的73%风险降低率几乎旗鼓相当。

达到缓解的R组在随访期间进展到T2D的风险显著低于未达到缓解的NR组
总体而言,这项研究的深远意义,在于它推动我们进行一场认知升级。它并非否定减肥的益处,而是提醒我们:体重数字不应是衡量健康的唯一。因此,临床医生在制定预防策略时,也应将实现“血糖正常化”(糖尿病前期缓解)作为一个核心目标来管理,而不仅仅局限于盯着体重秤上的数字。
(来源:生物谷)
原文出处:Sandforth A, Arreola EV, Hanson RL, et al. Prevention of type 2 diabetes through prediabetes remission without weight loss. Nat Med. 2025 Oct;31(10):3330-3340. doi: 10.1038/s41591-025-03944-9. Epub 2025 Sep 29. PMID: 41023486; PMCID: PMC12532634.
